Entfaltung

Aus WikiPedalia
(Weitergeleitet von Übersetzungsdurchmesser)

Unter der Entfaltung oder Ablauflänge versteht man die Länge der Strecke, die ein Fahrrad durch eine Umdrehung der Kurbeln zurückgelegt.

Zur Berechnung der Entfaltung muss man den Abrollumfang des Rads und die Übersetzung von Kettenblatt und Ritzel kennen.

Der Abrollumfang eines Rads mit 28 Zoll ist grob gerechnet rund 2,16m.
Die Übersetzung von einem Kettenblatt mit 44 Zähnen und einem Ritzel mit 19 Zähnen ist rund 0,432.
Die Entfaltung beträgt dann 2,16m/0,432 = 5m.
Bei einer Umdrehung der Kurbeln pro Sekunde ergibt sich so eine Fahrgeschwindigkeit von 5 m/s = 18 km/h.

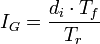
Sheldon Brown zeigt wie man die Entfaltung (englisch "gear inches") in Zoll berechnet:

Das einfachste gebräuchliche System, die Gangübersetzung eines Fahrrads zu bestimmen, ist das Gear Inch-System. Es datiert auf die Zeit vor dem Kettenantrieb bei Fahrrädern zurück. Es bezeichnete ursprünglich den Durchmesser des Vorderrads bei Hochrädern. Als kettengetriebene Sicherheitsräder aufkamen, wurde das gleiche System weiterverwendet, wobei der Durchmesser des Antriebsrades mit dem Zahnverhältnis multipliziert wurde. Es ist sehr einfach zu berechnen:

Vortriebsverhältnis GearInch Formel.png

Mit:

  • I = Übersetzungsdurchmesser in Zoll
  • T = Zahl der Zähne (f=Front, r=Rear)
  • d = Durchmesser in Zoll

Dies ergibt eine einfache zwei- bis dreistellige Zahl. Die oben erwähnten Beispiele liegen bei rund 74-75 Zoll. Die kleinste Übersetzung bei Mountainbikes beträgt in der Regel rund 22-26 Zoll. Die höchsten Übersetzungen haben Rennräder mit rund 108-110 Zoll. Jedoch ist absehbar, dass für zollbasierte (nicht-metrische) Messgrößen die Zeit abgelaufen ist.

Siehe auch

Werbung:

Quellen

Dieser Artikel basiert auf dem Glossar von der Website Sheldon Browns. Der Originalautor des Artikels ist Sheldon Brown.